Lorsque la lumière traverse un matériau, elle interagit avec lui à l'échelle atomique et moléculaire. On peut se représenter ces atomes ou molécules comme des réseaux de dipôles. Le champ électrique de la lumière incidente met en mouvement ces dipôles, les faisant osciller comme des ressorts lors de sa propagation dans le matériau.
Dans la plupart des cas, la lumière restera inchangée et conservera exactement la même fréquence à sa sortie du milieu (à quelques µm de profondeur). Cependant, il est possible que la lumière induise une oscillation non linéaire des dipôles, de sorte que la lumière réémise contienne des fréquences supplémentaires, à l'instar des harmoniques d'un ressort. Certains matériaux sont plus enclins à présenter des réponses non linéaires du second ordre (χ<sup> (2)</sup>) , tandis que d'autres sont plus sensibles aux réponses du troisième ordre (χ<sup> (3)</sup>) . Le type de réponse non linéaire dépend entièrement de la structure du matériau.
Conversion de fréquence non linéaire du second ordre
Les processus non linéaires du second ordre impliquent le mélange de trois ondes électromagnétiques, l'amplitude de la réponse non linéaire du cristal étant caractérisée par le coefficient χ (2) . Ceci peut donner lieu aux interactions suivantes :
- Génération de fréquence différence (DFG)
- Génération de seconde harmonique (GSH)
- Génération de fréquence S µm (SFG)

La génération de seconde harmonique (GSH), ou doublage de fréquence, est l'application la plus courante qui exploite les propriétés (2) µm de longueur d'onde λp sont combinés par un processus non linéaire pour générer un troisième photon à λ <sub>SHG</sub>, où

OU, en termes de fréquence,

Similaire à la SHG, la génération de fréquence SFG µm SFG) combine deux photons d'entrée à λ p et λ s pour générer un photon de sortie à λ SFG , où,

OU, en termes de fréquence,

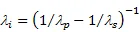
Alternativement, dans la génération de fréquence différence (DFG), lorsque deux photons d'entrée à λp et λs sont incidents sur le cristal, la présence du photon de signal de fréquence inférieure, λs, stimule le photon p µm p, λp, à émettre un photon de signal λ s et un photon idler à λ i , où,

OU, en termes de fréquence,

Dans ce processus, deux photons de signal et un photon complémentaire sortent du cristal, générant ainsi un champ de signal amplifié. C'est ce qu'on appelle l'amplification paramétrique optique. De plus, en plaçant le cristal non linéaire au sein d'un résonateur optique, également appelé oscillateur paramétrique optique (OPO), l'efficacité peut être considérablement améliorée.
Accord de phase
Dans tous ces processus, l'énergie des photons est conservée ; cependant, pour que les interactions de conversion de fréquence non linéaires du second ordre aient lieu, le moment µm doit également être conservé. C'est ce qu'on appelle l'accord de phase.
L'accord de phase consiste à fixer la phase relative entre deux ou plusieurs fréquences lumineuses lors de leur propagation dans un cristal, comme pour le doublage de fréquence, la génération de fréquences non linéaires ( µm et la génération de fréquences de différence. L'indice de réfraction dépend de la fréquence de la lumière. Ainsi, la relation de phase entre deux photons de fréquences différentes varie lors de leur propagation dans le matériau, sauf si le cristal est accordé en phase pour ces fréquences. Il est nécessaire que la relation de phase entre les photons incidents et générés soit maintenue dans tout le cristal pour une conversion de fréquence non linéaire efficace des photons incidents. Dans le cas contraire, les photons générés se déplacent en phase de manière sinusoïdale, limitant ainsi le µm de photons générés qui sortent du cristal. Ceci est illustré dans la figure ci-dessous. L'accord de phase traditionnel exige que la lumière se propage dans le cristal dans une direction où la biréfringence naturelle du cristal correspond à l'indice de réfraction de la lumière générée. Bien qu'elle permette un accord de phase parfait, cette technique est limitée à une petite gamme de longueurs d'onde dans les matériaux pouvant être accordés en phase.

Le PPLN est un matériau conçu à quasi-accord de phase. Le terme « conçu » fait référence à l'inversion périodique (polarisation) de l'orientation du cristal de niobate µm l'ordre du micromètre. Cette inversion d'orientation à chaque pic de la génération sinusoïdale permet d'éviter le déphasage des photons. Par conséquent, le µm de photons générés augmente lors de la propagation de la lumière dans le PPLN, ce qui assure un rendement de conversion élevé entre la lumière incidente et les photons générés (voir figure ci-dessus).
La période d'inversion du cristal (période de polarisation) dépend des longueurs d'onde d'interaction et de la température du cristal PPLN. Par exemple, un cristal PPLN avec une période de polarisation de 6,6 µm génère efficacement des photons à fréquence doublée à partir de photons de 1060 nm lorsque sa température est maintenue à 100 °C. En augmentant sa température à 200 °C, ce même cristal PPLN génère efficacement des photons à fréquence doublée à partir de photons de 1068,6 nm. Ainsi, la modification de la température du cristal influe sur les conditions d'accord de phase, permettant un ajustement de l'interaction spectrale.