二阶非线性
铌µm锂的二阶非线性极化可以表示为:

二维矩阵描述了非磁化率张量χ(2)。对于1064nm波长下掺杂5% MgO的微米级铌酸µm(MgO:LN),d31=4.4pm/V,d33=25pm/V。[1].
最高的非线性系数为 d33=25pm/V,对应于平行于 z 轴的相互作用,即 0 型相位匹配。换句话说,所有相互作用的波都必须是 e 极化的才能实现最高的转换效率。我们所有的晶体都旨在达到此 d33 系数。对于周期性极化的 MgO:LN,有效非线性系数 deff 通常为 14pm/V。.
注: Covesion 可提供用于 I 型或 II 型相互作用的定制晶体,例如用于产生正交偏振对的纠缠光子系统的晶体。

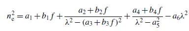
折射率
折射率随温度的变化可以用Sellmeier方程描述:

其中,温度相关参数f定义为:

其中 T 为温度,单位为摄氏度
而 Sellmeier 系数为:光学谐振器,也称为光学参量振荡器 (OPO),其效率可以显著提高。.
| 塞尔迈尔系数 | 5% MgO:LN [2] | 未掺杂的铌酸锂 [3] |
|---|---|---|
| a1 | 5.756 | 5.35583 |
| a2 | 0.0983 | 0.100473 |
| a3 | 0.2020 | 0.20692 |
| a4 | 189.32 | 100 |
| a5 | 12.52 | 11.34927 |
| a6 | 1.32E-02 | 1.5334E-02 |
| b1 | 2.860E-06 | 4.629E-07 |
| b2 | 4.700E-08 | 3.862E-08 |
| b3 | 6.113E-08 | -8.9E-09 |
| b4 | 1.516E-04 | 2.657E-05 |
利用这些参数代入塞尔迈尔方程,可以计算折射率随波长和温度的变化。下表列出了一些示例。.
| 温度 | 532纳米 | 780纳米 | 1064纳米 | 1550纳米 | 3500纳米 |
|---|---|---|---|---|---|
| 30°C | 2.2260 | 2.1715 | 2.1496 | 2.1320 | 2.0732 |
| 100°C | 2.2485 | 2.1929 | 2.1708 | 2.1530 | 2.0938 |
| 150°C | 2.2673 | 2.2108 | 2.1884 | 2.1705 | 2.1110 |
PPLN晶体具有高折射率,导致每个未镀膜表面产生约14%的菲涅耳损耗。为了提高晶体的透射率,晶体的输入和输出端面均镀有增透膜,从而将每个表面的反射率降低到1%以下。.
传播
在 400-4000nm 波段具有。材料吸收发生在 400nm 以下和 4000nm 以上,只要能够克服损耗,PPLN 仍然可以在这些波段使用。例如,已有研究在 PPLN 中实现了µm [4] ,但更常见的是,基于 PPLN 的 OPO 通常工作在 4.5-5µm 波段µm类似地,在紫外波段,已利用 MgO:PPLN 中的三阶准相位匹配 (QPM) 实现了386nm [ 5]和 370nm [6]
Schwesyg等人分析了MgO:LN在300至2950nm波长范围内的吸收损耗[7] 。他们的数据(如下所示)提供了400-800nm波长范围内吸收系数的精确测量值。他们的实验还发现,在800-2000nm波长范围内没有可测量的吸收带。

下图显示了Covesion公司测得的LN和MgO:LN的透射曲线,图中显示了两种材料的透射率滚降现象。该测量包含了被测样品输入和输出端面的菲涅耳反射,这导致了约30%的透射率损失。.

注意:在 2826nm 处有一个 OH 吸收带,测得的吸收系数为 0.088cm-1 [7]。
MgO:PPLN 与未掺杂 PPLN 的比较
未掺杂的PPLN晶体通常在100°C至200°C之间工作,以最大程度地减少光折变效应,避免晶体受损和输出光束畸变。由于在可见光波段(微米µm存在高能光子时,PPLN晶体的光折变效应更为显著,因此务必确保晶体仅在推荐的温度范围内使用。.
在微米µm铌酸锂中添加 5% 的氧化镁 (MgO) 可显著提高晶体的光学和光折变电阻,同时保持其高非线性系数。由于具有更高的损伤阈值,MgO:PPLN 更适用于高功率应用。它还可在室温至 200°C 的范围内工作,从而显著提高器件的波长可调谐范围。此外,在某些特殊情况下,MgO:PPLN 可在室温下工作,无需温度控制。例如,我们的 MSHG1550-0.5-1(1mm 长)可用于将 1560nm 飞秒光纤激光器产生 780nm 波长的光。.
功率处理和损伤阈值
在Covesion,我们对晶体的寿命测试是一个持续的过程。使用10W 1064nm连续波激光器,我们产生了2.2W的532nm波长光。在ap µm p强度>500KW/cm2和35℃的工作温度下,我们的PPLN晶体在2000小时内保持了2.2W的倍频输出功率,晶体未出现任何损伤迹象,也没有因光折射导致的光束畸变。.

MgO:PPLN 或 PPLN 的损伤阈值取决于波长以及光源是连续波 (CW) 还是脉冲波 (PPLN)。在连续波模式下,损伤阈值取决于光强,并且在可见光波段较低。对于脉冲光源,损伤阈值取决于波长、脉冲持续时间、平均功率和重复频率。通常,低重复频率光源的损伤阈值会更高。.
如果您认为您操作的晶体接近损伤阈值,那么一个好方法是在晶体的未极化区域测试损伤阈值。Covesion晶体的标准宽度为10毫米,但极化光栅的最大覆盖宽度约为7µm。只要损伤仍在增透膜(AR涂层)区域内,您就可以利用未极化区域进行仔细的损伤测试。.
注意:在极化区域,如果产生可见光波长,则损伤阈值会降低。务必逐步增加 p µm p 功率,同时监测光束是否存在任何畸变或功率突然下降。.
下表汇总了来自 Covesion 和客户的数据,展示了不同工况下的功率承受能力或损坏阈值。我们正与客户持续合作,不断增加有关晶体损坏阈值的信息量。.
泵浦光类型 | 峰值强度/能量密度 | 晶体是否损伤? | 笔记 |
|---|---|---|---|
| CW | 500千瓦/平方厘米 | 无损伤 | 1064nm,10W,SHG(Covesion) |
| CW | 500千瓦/平方厘米 | 无损伤 | 1560nm,30W,(澳大利亚国立大学)[8]) |
| CW | 200kW/cm² | 无损伤 | 532nm,2.2W,(来自 1064nm 二次谐波)(Covesion) |
| ns | 100MW/cm2 或 2J/cm2 | 有损伤 | 1064nm,~30 µm周期,单程,10-20ns,21Hz,(Covesion) |
| 皮秒 | 100MW/cm² | 无损伤 | 1060nm OPO,20ps,115MHz,24W(ORC Southampton,[9]) |
| 皮秒 | 1.5GW/cm² | 无损伤 | 1064nm OPG 用于中红外:7ps,400Hz |
| 皮秒 | 1.8MW/cm² | 有损伤 | 530nm OPO,20ps,230MHz,500mW,(ORC Southampton,[10]) |
| 皮秒 | 7.5MW/cm² | 有损伤 | 530nm OPO,20ps,230MHz,1W->100mW斩波,(ORC Southampton,[10]) |
| 皮秒 | 468MW/cm² | 无损伤 | 1064nm,7ps,17W,80MHz,(新加坡国立大学)[11]) |
| 飞秒 | 4GW/cm² | 有损伤 | 1550nm,200fs,200mW,80MHz,二次谐波 |
损伤机制
光折射效应
在高强度光照条件下,LiNbO3 和 MgO:LiNbO3 均易发生光折变效应,即光学引起的折射率变化。(注:MgO:LiNbO3 的光折变阈值更高)。.
在高光强区域,电子会以自由载流子的形式释放,然后在低光强区域重新分布。这会导致材料内部折射率的空间变化,从而产生光束畸变。这种情况可能会对晶体造成永久性损伤。然而,在某些µm尺度下,如果影响较小,则可以通过将晶体加热到200°C并保持几个小时来逆转损伤,使所有载流子重新扩散。.
如果您在接近损坏阈值的条件下工作,建议您在 150-200°C 的高温下操作。.
绿色诱导红外吸收
绿光诱导红外吸收(GRIIRA)是指绿光照射下红外线被吸收的现象。这会导致局部升温,从而抵消相互作用的相位匹配温度,但最终也可能导致晶体损伤。.
GRIIRA的机制源于晶体缺陷(例如占据Li离子位点的Nb离子(称为反位缺陷)和Fe离子杂质)产生的极化子。在微米µm铌酸锂中掺杂MgO可以降低GRIIRA的发生,因为MgO允许Mg离子取代Nb反位缺陷。.
蓝光引起的红外吸收也是通过相同的机制发生的,被称为 BLIIRA(蓝光诱导红外吸收)。.
参考
1. WP Risk、TR Gosnell 和 AV Nurmikko,《紧凑型蓝绿激光器》,剑桥大学出版社,2003 年。2
. Gayer 等人,《应用物理 B》91,343-348 (2008)
。3. DH Jundt,《光学快报》第 22 卷第 20 期,1553-1555 页 (1997)
。4. MA Watson 等人,《光学快报》第 27 卷第 23 期,2106-2108 页 (2002)
。5. RT White 等人,《应用物理 B:激光与光学》77(6-7),547-550 (2003)
。6. J. Kim 等人,《2013 年 IEEE 光子学学会µm专题会议系列》(第 183-184 页)(2013)。
7. JR Schwesyg 等,《光学材料进展》,AIThE3,(2011)
8. SS Sané 等,《光学快报》,第 20 卷,第 8 期,第 8915–9 页,(2012)
9. F. Kienle 等,《光学快报》,第 18 卷,第 8 期,第 7602–10 页,(2010)
10. F. Kienle 等,《美国光学学会杂志 B》,第 29 卷,第 1 期,第 144 页,(2011)
11. PK Upputuri 和 H. Wang,《应用物理 B》,第 112 卷,第 4 期,第 521–527 页,(2013)